华东师大学者发现大幅提升量子纠缠容量和量子关联度新方法
华中师范大学物理学与电子器件科学研究学校高精密光谱仪科学与技术我国重点实验室荆杰泰专家教授精英团队最近在量子通信及其量子科技高精密精确测量行业持续获得关键进度,陆续发觉大幅度提高量子纠缠容积和量子科技关联系数的新方式,二项有关科研成果均发布于国际性物理刊物《物理评论快报》上。
荆杰泰专家教授试验精英团队合照
量子通信科学研究
在量子通信科学研究层面,荆杰泰专家教授精英团队运用电子光学轨道角动量这一可玩性,在试验上完成了一种电子光学轨道角动量重复使用的连续变量量子纠缠管理体系。该成效以“Orbital-Angular-Momentum Multiplexed Continuous-Variable Entanglement from Four-Wave Mixing in Hot Atomic Vapor”问题,于今年八月发布在国外物理会的《物理评论快报》(Physical Review Letters 123, 070506 (2019))上。
该毕业论文以华中师范大学为第一进行企业,高精密光谱仪科学与技术我国重点实验室的博士生潘晓州为毕业论文第一作者,研究生余胜、周延芬、吕树超及其博士生张昆、张凯、李思瑾、张勇都对毕业论文有关键奉献,荆杰泰专家教授为毕业论文的通讯作者。
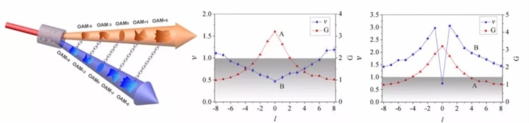
电子光学轨道角动量重复使用的连续变量纠缠不清系统软件平面图、13对量子纠缠判断及其电子光学路轨角动量守恒认证的有关试验結果
近些年,量子通信行业发展趋势快速,而量子纠缠是量子通信中十分关键的量子科技資源。提升量子通信管理体系中的纠缠不清容积,进而提升量子通信的信道容量针对完成尺度大量子通信互联网尤为重要。一方面,重复使用(Multiplexing)是提升經典通信系统信息内容承载力的关键方式。而另一方面,电子光学轨道角动量(Orbital Angular Momentum)做为一个关键的标量,造成了普遍的科学研究兴趣爱好,因为电子光学轨道角动量具备无尽网络带宽,螺旋式波前等特性特性,早已被取得成功运用于經典光通讯、电子光学操纵颗粒及其分离出来自变量量子纠缠等行业。
荆杰泰专家教授精英团队把重复使用的定义和电子光学轨道角动量可玩性紧密结合,并运用于连续变量纠缠不清管理体系,进而明确提出了一种根据重复使用电子光学轨道角动量的不一样方式来大幅提升连续变量量子通信管理体系纠缠不清容积的计划方案,而且最后在试验上得到完成。
Physical Review Letters 123, 070506 (2019)毕业论文创作者合照
在试验中,该精英团队运用热铷分子系综中的四波混频全过程造成了2个量子科技关系的栾生光线。在这里2个栾生光线安全通道中,系统软件另外可预测性地造成了13对两组纠缠不清的拉盖尔高斯函数(Laguerre-Gaussian)方式,相匹配的电子光学轨道角动量拓扑结构荷数,Pr和Conj意味着2个栾生光线安全通道。
该精英团队发展趋势了根据LG方式的量子纠缠检测计划方案,并运用这一检测计划方案取得成功在试验上认证了这种相匹配方式中间的量子纠缠特点。另外该工作中还认证了系统软件中中间不会有量子纠缠,进而从连续变量管理体系的视角证实了在四波混频全过程中,离散系统相互影响遵循电子光学轨道角动量守恒定律。除此之外,该工作中还科学研究了四波混频系统软件中三种不一样种类的光轨道角动量相关累加方式状况下的量子纠缠特点。
精英团队系统化科学研究了液压柱塞泵光场的腰斑直徑尺寸对方式重复使用数量的危害,发觉重复使用数量伴随着液压柱塞泵腰斑的提升而合理提升。此科学研究初次明确提出了将电子光学轨道角动量重复使用的定义运用于连续变量量子科技管理体系,完成了电子光学轨道角动量重复使用的连续变量量子纠缠系统软件,进而大大提高了系统软件的量子纠缠容积。该工作中为连续变量量子通信科学研究出示了一个全新的科学研究服务平台和构思。
量子科技高精密精确测量科学研究
在量子科技高精密精确测量科学研究层面,荆杰泰专家教授精英团队在试验上运用干预(Interference)效用,在连续变量量子科技管理体系中完成了两光线间以量子科技缩小(Quantum Squeezing)定性分析的量子科技关系的提高。
该成效以“Interference-Induced Quantum Squeezing Enhancement in a Two-beam Phase-Sensitive Amplifier”问题于今年九月份发布在《物理评论快报》(Physical Review Letters 123, 113602 (2019))上。该毕业论文一样以华中师范大学为第一进行企业,高精密光谱仪科学与技术我国重点实验室的博士生刘胜帅和娄彦博为毕业论文相互第一作者,荆杰泰专家教授为毕业论文的通讯作者。
双光束相敏放大仪系统软件平面图、系统软件輸出端干涉条纹及其干预诱发的量子科技缩小提高试验結果
量子科技缩小是一种十分关键的非經典效用,它与量子物理中的“可变性基本原理”息息相关,因而针对量子物理的基础研究具备关键的科学研究使用价值。另外量子科技缩小又可以大幅度减少系统软件的量子科技噪音,进而明显提升系统软件的频率稳定度和敏感度,因而它又在量子科技高精密精确测量之中具备关键的运用使用价值。比如,量子科技缩小能够用于提升激光干涉仪引力波天文台认证、分子磁力仪和铣机磁力仪的敏感度。
除此之外,量子科技缩小还能够用以提升激光精准定位、旋转角精确测量及其時间传送等。可以说量子科技缩小的缩小水平立即决策了它对物理学系统软件特性的改进水平。因而,提高量子科技缩小针对量子科技高精密精确测量尤为重要的。
近些年,根据分子系综四波混频全过程的非相敏放大仪被证实是造成量子科技缩小的一种十分合理的方式。由该系统软件造成的量子科技缩小光线在量子科技显像、量子纠缠延迟时间及其离散系统干涉仪等行业获得了关键的运用。与此不一样,该精英团队独辟蹊径,在试验上完成了运用相敏放大仪中的干预效用来提高量子科技缩小的计划方案。
Physical Review Letters 123, 113602 (2019)毕业论文创作者合照
在试验中,该精英团队各自精确测量了同样试验标准下非相敏放大仪和相敏放大仪造成的抗压强度差缩小光线的量子科技关系。试验数据显示相敏放大仪造成的关系光线的量子科技缩小度要明显好于非相敏放大仪,并取得成功提升10dB。
研究发现这类量子科技缩小的提高来自基础理论预测分析中的一个干涉项,因而该精英团队在试验上深入分析了这一干涉项中系统软件增益值、引入光抗压强度占比及其干预相位差点对量子科技缩小的管控功效,这种科学研究結果清楚地说明相敏放大仪中的量子科技缩小提高来自其中在的干预实质。该工作中是一种新的提高量子科技缩小的合理方式,因而在提升量子科技精确测量的精密度层面具备潜在性的运用使用价值。
第一作者全是博士生
量子通信和量子科技高精密精确测量是当今国际性上量子科技信息科技发展趋势中的几大关键行业,该科学研究精英团队在这里2个层面持续获得了关键进度,是长期性累积的結果。
荆杰泰专家教授长期性从业量子光学、原子分子光物理层面的试验和理论基础研究,近些年在根据分子系综量子科技灯源的试验造成以及在量子通信和量子科技高精密精确测量的运用层面获得了系列产品科研成果。
有关成效陆续以通讯作者真实身份发布在本行业国际性关键学术刊物上,包含Physical Review Letters及其Physical Review Applied等,有关科研成果遭受好几个国际性中国同行业研究组的系列产品引入。荆杰泰专家教授曾主持人自然科学基金委重特大研究目标关键适用新项目,曾当选国家教育部“新时代高层次人才”、上海“黎明专家学者”及其上海“浦江优秀人才”。
荆杰泰专家教授和试验精英团队组员
此次同刊发布的几篇毕业论文,第一作者均是该精英团队的博士生。荆杰泰专家教授领着学员进到当今国际性上最前沿的量子信息研究领域,激励她们积极开展国际性学术论坛主题活动,充足激起出她们的科学研究兴趣爱好,使她们始终保持明显的科学研究激情。
“仅有那样,学员们在碰到科学研究或瓶颈问题时才可以克难攻坚,一直坚持到底。” 荆杰泰表明。目前为止,荆杰泰专家教授具体指导的硕士研究生1人次得到 二零一四年王大珩在校大学生电子光学奖、三人次得到 上海优秀学生、8人次得到 硕士研究生国家奖学金。
(正文已经结束)
推荐阅读:中国商业电讯
免责声明及提醒:此文内容为本网所转载企业宣传资讯,该相关信息仅为宣传及传递更多信息之目的,不代表本网站观点,文章真实性请浏览者慎重核实!任何投资加盟均有风险,提醒广大民众投资需谨慎!
相关新闻
- 2020-03-27·华为Mate30 Pro自述:
- 2020-04-12·体验完 macOS Catal
- 2020-04-24·“特卖区”登陆手机淘宝 服务1
- 2020-05-01·苹果也玩性价比?iPhone9
- 2020-05-08·2018年10月中国主流手机浏


手机阅读分享话题
